The most common biomechanical explanation for the chin is that it acts as a buttress against masticatory stress. However, recent evidence suggests that this hypothesis is unlikely [...] More recently Ichim et al. (2007) have suggested that speech production is associated with mechanical stresses acting on the mandibular symphysis due to tongue and orofacial muscle activity. Thus, they argue that the chin is an adaptive response to resist stresses caused by oblique contractions of the genioglossus muscles during speech. Computer simulations provide results that are consistent with the orofacial stress hypothesis (Ichim et al., 2007), but this hypothesis has yet to be fully tested.
A less well-established adaptive hypothesis, but one worth considering, is that chin shape variation is a consequence of sexual selection (e.g., Hershkovitz, 1970). Psychological studies of facial attractiveness suggest that a ‘‘broad chin’’ in males is correlated with social dominance, which some females may prefer in a potential mate
Our study provides the first quantitative evidence of sexual dimorphism in chin shape among a geographically diverse sample of modern humans. The presence of sexual dimorphism appears to refute mechanical explanations of the chin that preclude sexual dimorphism, such as the masticatory and orofacial stress hypotheses (e.g. Daegling, 1993; Ichim et al., 2007).
...
While the presence of sexual dimorphism is consistent with the hypothesis that sexual selection influences variation in chin shape, the degree of overlap between males and females requires further explanation. It is safe to say that the male chin pales in comparison to the more exaggerated ornaments found in other animals, such as the large and colorful tail of the peacock (Pavo cristatus) (Petrie, 1991). The modest contrasts in male and female chin shape indicated by our data (see Fig. 4) do not seem to fit a runaway process of selection driven by female choice (Fisher, 1958). We suggest there are at least two possible explanations for this pattern.
One hypothesis for why male chin shape is not more exaggerated is that some females may avoid mating with extremely aggressive males
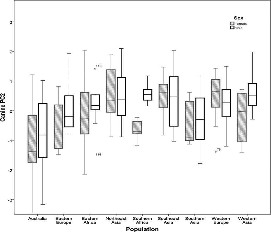
Second, the large amount of overlap in male and female chin shape may be due to regional differences inchin shape dimorphism (see Fig. 6). Regional differencesin the level of dimorphism would tend to inflate within-sex variance in the pooled human sample, thereby reducingthe probability of finding between-sex differences.

Sexual dimorphism in chin shape: Implications for adaptive hypotheses
Zaneta M. Thayer, Seth D. Dobson
Abstract
The chin, or mentum osseum, is one of the most distinctive anatomical traits of modern humans. A variety of hypotheses for the adaptive value of the chin have been proposed, ranging from mechanical stress resistance to sexual selection via mate choice. While the sexual selection hypothesis predicts dimorphism in chin shape, most biomechanical hypotheses preclude it. Therefore determining the presence or absence of significant sexual dimorphism in chin shape provides a useful method for differentiating between various adaptive hypotheses; however, this has yet to be done due to a lack of quantitative data on chin shape. The goals of this study are therefore: (1) to introduce a new method for quantifying chin shape and (2) to determine the presence or absence of sexual dimorphism in chin shape in a diverse sample of modern humans. Samples were drawn from recent human skeletal collections representing nine geographic regions. Outlines of mentum osseum contours were quantified using elliptical Fourier function analysis (EFFA). Fourier coefficients were analyzed using principal components analysis (PCA). Sexual dimorphism in chin shape was assessed using PC loadings in the pooled geographic sample, and statistically significant differences were found. These findings provide the first quantitative, morphologically based evidence in support of adaptive hypotheses that predict dimorphism in chin shape, including the sexual selection hypothesis.
6 comments:
There has not to be any adaptative reason: it is probably just a random accident of evolution: a founder effect at the origins of Humankind or a coalescent accident after long drift in a small distinct population.
Does the research show any connection between testosterone levels and chin structure? If there is a positive correlation between chin size and testosterone levels then this may explain why women don't like men with very exaggerated chins since high levels of testosterone can have a negative effect on the immune system.
Surely adult male human chins are naturally obscured by hair - as shown by the two gentleman on either side of this blog. This must significantly reduce the opportunity for sexual selection.
Sexual selection explains the presence of sexual dimorphism in chin development, but it doesn't necessarily explain the emergence of human chin in the first place. So the statement "While the sexual selection hypothesis predicts dimorphism in chin shape, most biomechanical hypotheses preclude it" (emphasis mine) in the abstract is wrong: sexual selection may be responsible only for a small proportion of the human chin evolution.
"Southern Africans are extreme in their dimorphism"
According to an abstract statistical decomposition of profile shape at a single location on the jaw.
Looking at actual mandibular measurements: "The Spitalfields sample exhibits higher sexual dimorphism than the Zulu sample in all of the variables apart from the heights of the mandibular notch and ramus."
Post a Comment